
Gradient Boosting Trees#
Michael J. Pyrcz, Professor, The University of Texas at Austin
Twitter | GitHub | Website | GoogleScholar | Book | YouTube | Applied Geostats in Python e-book | LinkedIn
Chapter of e-book “Applied Machine Learning in Python: a Hands-on Guide with Code”.
Cite this e-Book as:
Pyrcz, M.J., 2024, Applied Machine Learning in Python: A Hands-on Guide with Code [e-book]. Zenodo. doi:10.5281/zenodo.15169138
The workflows in this book and more are available here:
Cite the MachineLearningDemos GitHub Repository as:
Pyrcz, M.J., 2024, MachineLearningDemos: Python Machine Learning Demonstration Workflows Repository (0.0.3) [Software]. Zenodo. DOI: 10.5281/zenodo.13835312. GitHub repository: GeostatsGuy/MachineLearningDemos
By Michael J. Pyrcz
© Copyright 2024.
This chapter is a tutorial for / demonstration of Gradient Boosting Trees.
YouTube Lecture: check out my lectures on:
These lectures are all part of my Machine Learning Course on YouTube with linked well-documented Python workflows and interactive dashboards. My goal is to share accessible, actionable, and repeatable educational content. If you want to know about my motivation, check out Michael’s Story.
Motivations for Gradient Boosting Trees#
Before we can understand gradient boosting trees we first need to cover decision trees. Here’s the critical concepts for decision trees.
Decision Tree#
Prediction
estimate a function \(\hat{f}\) such that we predict a response feature \(Y\) from a set of predictor features \(X_1,\ldots,X_m\).
the prediction is of the form \(\hat{Y} = \hat{f}(X_1,\ldots,X_m)\)
Supervised Learning
the response feature label, \(Y\), is available over the training and testing data
Based on an Ensemble of Decision Trees
These are the concepts related to decision tree.
Hierarchical, Binary Segmentation of the Feature Space
The fundamental idea is to divide the predictor space, \(𝑋_1,\ldots,X_m\), into \(J\) mutually exclusive, exhaustive regions
mutually exclusive – any combination of predictors only belongs to a single region, \(R_j\)
exhaustive – all combinations of predictors belong a region, \(R_j\), regions cover entire feature space (range of the variables being considered)
For every observation in a region, \(R_j\), we use the same prediction, \(\hat{Y}(R_j)\)
For example predict production, \(\hat{Y}\), from porosity, \({X_1}\)
given the data within a mD feature space, \(X_1,\ldots,X_m\), find that boundary maximizes the gap between the two categories
new cases are classified based on where they fall relative to this boundary
Procedure for Tree Construction
The tree is constructed from the top down. We begin with a single region that covers the entire feature space and then proceed with a sequence of splits.
Scan All Possible Splits over all regions and over all features.
Greedy Optimization The method proceeds by finding the first segmentation (split) in any feature that minimizes the residual sum of squares of errors over all the training data \(y_i\) over all of the regions \(j = 1,\ldots,J\).
Stopping Criteria is typically based on minimum number of training data in each region for a robust estimation and / or minimum reduction in RSS for the next split
Now we can cover gradient boosting trees that build on the concept of decision trees.
Boosting Models#
Boosting additively applies multiple week learners to build a stronger learner.
a weak learner is one that offers predictions just marginally better than random selection
I’ll explain the method with words and then with equations.
build a simple model with a high error rate, the model can be quite inaccurate, but moves in the correct direction
calculate the error from the model
fit another model to the error
calculate the error from this addition of the first and second model
repeat until the desired accuracy is obtained or some other stopping criteria
The general workflow for predicting \(Y\) from \(X_1,\ldots,X_m\) is:
build a week learner to predict \(Y\) from \(X_1,\ldots,X_m\), \(\hat{F}_k(X)\) from the training data \(x_{i,j}\).
loop over number of desired estimators, \(k = 1,\ldots,K\)
calculate the residuals at the training data, \(h_k(x_{i}) = y_i - \hat{F}_k(x_{i})\)
fit another week learner to predict \(h_k\) from \(X_1,\ldots,X_m\), \(\hat{F}_k(X)\) from the training data \(x_{i,j}\).
We have a hierarchy of simple \(K\) models.
each model builds on the previous to improve the accuracy
Our regression estimator is the summation over the \(K\) simple models.
Gradient Boosting Methods#
If you look at the previous method, it becomes clear that it could be mapped to a gradient descent problem
At each step, \(k\), a model is being fit, then the error is calculated, \(h_k(X_1,\ldots,X_m)\).
We can assign a loss function
So we want to minimize the \(\ell2\) loss function:
by adjusting our model result over our training data \(F(x_1), F(x_2),\ldots,F(x_n)\).
We can take the partial derivative of the error vs. our model.
We can interpret the residuals as negative gradients.
So now we have a gradient descent problem:
Of the general form:
where \(phi_k\) is the current state, \(\rho\) is the learning rate, \(J\) is the loss function, and \(\phi_{k+1}\) is the next state of our estimator.
If we consider our residual at training data to be a gradient then we are performing gradient descent.
fitting a series of models to negative gradients
By approaching the problem as a gradient decent problem we are able to apply a variety of loss functions
\(\ell2\) is our \(\frac{\left(y - F(X)\right)^2}{2}\) is practical, but is not robust with outliers
\(\ell1\) is our \(|y - F(X)|\) is more robust with outliers
there are others like Huber Loss
Interpretability
Compared to decision trees, the ensemble methods have reduced interpretability. One tool to improve model interpretability is feature importance.
We calculate variable importance through calculating the average of:
residual sum of square reduction for all splits involving each predictor feature for regression
the decrease in the Gini index for all splits involving each predictor feature for classification
Both are standardized to sum to 1.0 over the features.
Classification#
The response is a finite set of possible categories.
For each training data the truth is 100% probability in the observed category and 0% otherwise
Estimate the probability of each category with the a decision tree
Use a measure of difference between the true and estimated distributions as the loss function to minimize
Load the Required Libraries#
We will also need some standard packages. These should have been installed with Anaconda 3.
%matplotlib inline
suppress_warnings = True
import os # to set current working directory
import math # square root operator
import numpy as np # arrays and matrix math
import scipy.stats as st # statistical methods
import pandas as pd # DataFrames
import matplotlib.pyplot as plt # for plotting
from matplotlib.ticker import (MultipleLocator,AutoMinorLocator,FuncFormatter) # control of axes ticks
from matplotlib.colors import ListedColormap # custom color maps
import seaborn as sns # for matrix scatter plots
from sklearn.tree import DecisionTreeRegressor # decision tree method
from sklearn.ensemble import GradientBoostingRegressor # tree-based gradient boosting
from sklearn.tree import _tree # for accessing tree information
from sklearn import metrics # measures to check our models
from sklearn.preprocessing import StandardScaler # standardize the features
from sklearn.tree import export_graphviz # graphical visualization of trees
from sklearn.model_selection import (cross_val_score,train_test_split,GridSearchCV,KFold) # model tuning
from sklearn.pipeline import (Pipeline,make_pipeline) # machine learning modeling pipeline
from sklearn import metrics # measures to check our models
from sklearn.model_selection import cross_val_score # multi-processor K-fold crossvalidation
from sklearn.model_selection import train_test_split # train and test split
from IPython.display import display, HTML # custom displays
cmap = plt.cm.inferno # default color bar, no bias and friendly for color vision defeciency
plt.rc('axes', axisbelow=True) # grid behind plotting elements
if suppress_warnings == True:
import warnings # suppress any warnings for this demonstration
warnings.filterwarnings('ignore')
seed = 13 # random number seed for workflow repeatability
If you get a package import error, you may have to first install some of these packages. This can usually be accomplished by opening up a command window on Windows and then typing ‘python -m pip install [package-name]’. More assistance is available with the respective package docs.
Declare Functions#
Let’s define a couple of functions to streamline plotting correlation matrices and visualization of a decision tree regression model.
def comma_format(x, pos):
return f'{int(x):,}'
def feature_rank_plot(pred,metric,mmin,mmax,nominal,title,ylabel,mask): # feature ranking plot
mpred = len(pred); mask_low = nominal-mask*(nominal-mmin); mask_high = nominal+mask*(mmax-nominal); m = len(pred) + 1
plt.plot(pred,metric,color='black',zorder=20)
plt.scatter(pred,metric,marker='o',s=10,color='black',zorder=100)
plt.plot([-0.5,m-1.5],[0.0,0.0],'r--',linewidth = 1.0,zorder=1)
plt.fill_between(np.arange(0,mpred,1),np.zeros(mpred),metric,where=(metric < nominal),interpolate=True,color='dodgerblue',alpha=0.3)
plt.fill_between(np.arange(0,mpred,1),np.zeros(mpred),metric,where=(metric > nominal),interpolate=True,color='lightcoral',alpha=0.3)
plt.fill_between(np.arange(0,mpred,1),np.full(mpred,mask_low),metric,where=(metric < mask_low),interpolate=True,color='blue',alpha=0.8,zorder=10)
plt.fill_between(np.arange(0,mpred,1),np.full(mpred,mask_high),metric,where=(metric > mask_high),interpolate=True,color='red',alpha=0.8,zorder=10)
plt.xlabel('Predictor Features'); plt.ylabel(ylabel); plt.title(title)
plt.ylim(mmin,mmax); plt.xlim([-0.5,m-1.5]); add_grid();
return
def plot_corr(corr_matrix,title,limits,mask): # plots a graphical correlation matrix
my_colormap = plt.get_cmap('RdBu_r', 256)
newcolors = my_colormap(np.linspace(0, 1, 256))
white = np.array([256/256, 256/256, 256/256, 1])
white_low = int(128 - mask*128); white_high = int(128+mask*128)
newcolors[white_low:white_high, :] = white # mask all correlations less than abs(0.8)
newcmp = ListedColormap(newcolors)
m = corr_matrix.shape[0]
im = plt.matshow(corr_matrix,fignum=0,vmin = -1.0*limits, vmax = limits,cmap = newcmp)
plt.xticks(range(len(corr_matrix.columns)), corr_matrix.columns); ax = plt.gca()
ax.xaxis.set_label_position('bottom'); ax.xaxis.tick_bottom()
plt.yticks(range(len(corr_matrix.columns)), corr_matrix.columns)
plt.colorbar(im, orientation = 'vertical')
plt.title(title)
for i in range(0,m):
plt.plot([i-0.5,i-0.5],[-0.5,m-0.5],color='black')
plt.plot([-0.5,m-0.5],[i-0.5,i-0.5],color='black')
plt.ylim([-0.5,m-0.5]); plt.xlim([-0.5,m-0.5])
def add_grid():
plt.gca().grid(True, which='major',linewidth = 1.0); plt.gca().grid(True, which='minor',linewidth = 0.2) # add y grids
plt.gca().tick_params(which='major',length=7); plt.gca().tick_params(which='minor', length=4)
plt.gca().xaxis.set_minor_locator(AutoMinorLocator()); plt.gca().yaxis.set_minor_locator(AutoMinorLocator()) # turn on minor ticks
def plot_CDF(data,color,alpha=1.0,lw=1,ls='solid',label='none'):
cumprob = (np.linspace(1,len(data),len(data)))/(len(data)+1)
plt.scatter(np.sort(data),cumprob,c=color,alpha=alpha,edgecolor='black',lw=lw,ls=ls,label=label,zorder=10)
plt.plot(np.sort(data),cumprob,c=color,alpha=alpha,lw=lw,ls=ls,zorder=8)
def visualize_model(model,X1_train,X1_test,X2_train,X2_test,Xmin,Xmax,y_train,y_test,ymin,
ymax,title,Xname,yname,Xlabel,ylabel,annotate=True):# plots the data points and the decision tree prediction
cmap = plt.cm.inferno
X1plot_step = (Xmax[0] - Xmin[0])/300.0; X2plot_step = -1*(Xmax[1] - Xmin[1])/300.0 # resolution of the model visualization
XX1, XX2 = np.meshgrid(np.arange(Xmin[0], Xmax[0], X1plot_step), # set up the mesh
np.arange(Xmax[1], Xmin[1], X2plot_step))
y_hat = model.predict(np.c_[XX1.ravel(), XX2.ravel()]) # predict with our trained model over the mesh
y_hat = y_hat.reshape(XX1.shape)
plt.imshow(y_hat,interpolation=None, aspect="auto", extent=[Xmin[0],Xmax[0],Xmin[1],Xmax[1]],
vmin=ymin,vmax=ymax,alpha = 1.0,cmap=cmap,zorder=1)
sp = plt.scatter(X1_train,X2_train,s=None, c=y_train, marker='o', cmap=cmap,
norm=None, vmin=ymin, vmax=ymax, alpha=0.6, linewidths=0.3, edgecolors="black", label = 'Train',zorder=10)
plt.scatter(X1_test,X2_test,s=None, c=y_test, marker='s', cmap=cmap,
norm=None, vmin=ymin, vmax=ymax, alpha=0.3, linewidths=0.3, edgecolors="black", label = 'Test',zorder=10)
plt.title(title); plt.xlabel(Xlabel[0]); plt.ylabel(Xlabel[1])
plt.xlim([Xmin[0],Xmax[0]]); plt.ylim([Xmin[1],Xmax[1]])
cbar = plt.colorbar(sp, orientation = 'vertical') # add the color bar
cbar.ax.yaxis.set_major_formatter(FuncFormatter(comma_format))
plt.gca().xaxis.set_major_formatter(FuncFormatter(comma_format))
plt.gca().yaxis.set_major_formatter(FuncFormatter(comma_format))
cbar.set_label(ylabel, rotation=270, labelpad=20)
return y_hat
def check_model(model,X,y,ymin,ymax,ylabel,title): # get OOB MSE and cross plot a decision tree
y_hat = model.predict(X)
MSE_test = metrics.mean_squared_error(y,y_hat)
plt.scatter(y,y_hat,s=None, c='darkorange',marker=None,cmap=cmap,norm=None,vmin=None,vmax=None,alpha=0.8,
linewidths=1.0, edgecolors="black")
plt.title(title); plt.xlabel('Truth: ' + str(ylabel)); plt.ylabel('Estimated: ' + str(ylabel))
plt.xlim(ymin,ymax); plt.ylim(ymin,ymax)
plt.plot([ymin,ymax],[ymin,ymax],color='black'); add_grid()
plt.annotate('Testing MSE: ' + str(f'{(np.round(MSE_test,2)):,.0f}'),[4200,2500])
plt.gca().xaxis.set_major_formatter(FuncFormatter(comma_format))
plt.gca().yaxis.set_major_formatter(FuncFormatter(comma_format))
def display_sidebyside(*args): # display DataFrames side-by-side (ChatGPT 4.0 generated Spet, 2024)
html_str = ''
for df in args:
html_str += df.head().to_html() # Using .head() for the first few rows
display(HTML(f'<div style="display: flex;">{html_str}</div>'))
Set the Working Directory#
I always like to do this so I don’t lose files and to simplify subsequent read and writes (avoid including the full address each time).
#os.chdir("c:/PGE383") # set the working directory
You will have to update the part in quotes with your own working directory and the format is different on a Mac (e.g. “~/PGE”).
Loading Data#
Let’s load the provided multivariate, spatial dataset unconv_MV.csv available in my GeoDataSet repo. It is a comma delimited file with:
well index (integer)
porosity (%)
permeability (\(mD\))
acoustic impedance (\(\frac{kg}{m^3} \cdot \frac{m}{s} \cdot 10^6\)).
brittleness (%)
total organic carbon (%)
vitrinite reflectance (%)
initial gas production (90 day average) (MCFPD)
We load it with the pandas ‘read_csv’ function into a data frame we called ‘df’ and then preview it to make sure it loaded correctly.
Python Tip: using functions from a package just type the label for the package that we declared at the beginning:
import pandas as pd
so we can access the pandas function ‘read_csv’ with the command:
pd.read_csv()
but read csv has required input parameters. The essential one is the name of the file. For our circumstance all the other default parameters are fine. If you want to see all the possible parameters for this function, just go to the docs here.
The docs are always helpful
There is often a lot of flexibility for Python functions, possible through using various inputs parameters
also, the program has an output, a pandas DataFrame loaded from the data. So we have to specficy the name / variable representing that new object.
df = pd.read_csv("unconv_MV.csv")
Let’s run this command to load the data and then this command to extract a random subset of the data.
df = df.sample(frac=.30, random_state = 73073);
df = df.reset_index()
Feature Engineering#
Let’s make some changes to the data to improve the workflow:
Select the predictor features (x2) and the response feature (x1), make sure the metadata is also consistent.
Metadata encoding such as the units, labels and display ranges for each feature.
Reduce the number of data for ease of visualization (hard to see if too many points on our plots).
Train and test data split to demonstrate and visualize simple hyperparameter tuning.
Add random noise to the data to demonstrate model overfit. The original data is error free and does not readily demonstrate overfit.
Given this is properly set, one should be able to use any dataset and features for this demonstration.
for brevity we don’t show any feature selection here. Previous chapter, e.g., k-nearest neighbours include some feature selection methods, but see the feature selection chapter for many possible methods with codes for feature selection.
Optional: Add Random Noise to the Response Feature#
We can do this to observe the impact of data noise on overfit and hyperparameter tuning.
This is for experiential learning, of course we wouldn’t add random noise to our data
We set the random number seed for reproducibility
add_error = True # add random error to the response feature
std_error = 1000 # standard deviation of random error, for demonstration only
idata = 2
if idata == 1:
df_load = pd.read_csv(r"https://raw.githubusercontent.com/GeostatsGuy/GeoDataSets/master/unconv_MV.csv") # load the data from my github repo
df_load = df_load.sample(frac=.30, random_state = seed); df_load = df_load.reset_index() # extract 30% random to reduce the number of data
elif idata == 2:
df_load = pd.read_csv(r"https://raw.githubusercontent.com/GeostatsGuy/GeoDataSets/master/unconv_MV_v5.csv") # load the data
df_load = df_load.sample(frac=.70, random_state = seed); df_load = df_load.reset_index() # extract 30% random to reduce the number of data
df_load = df_load.rename(columns={"Prod": "Production"})
yname = 'Production'; Xname = ['Por','Brittle'] # specify the predictor features (x2) and response feature (x1)
Xmin = [5.0,0.0]; Xmax = [25.0,100.0] # set minimums and maximums for visualization
ymin = 1500.0; ymax = 7000.0
Xlabel = ['Porosity','Brittleness']; ylabel = 'Production' # specify the feature labels for plotting
Xunit = ['%','%']; yunit = 'MCFPD'
Xlabelunit = [Xlabel[0] + ' (' + Xunit[0] + ')',Xlabel[1] + ' (' + Xunit[1] + ')']
ylabelunit = ylabel + ' (' + yunit + ')'
if add_error == True: # method to add error
np.random.seed(seed=seed) # set random number seed
df_load[yname] = df_load[yname] + np.random.normal(loc = 0.0,scale=std_error,size=len(df_load)) # add noise
values = df_load._get_numeric_data(); values[values < 0] = 0 # set negative to 0 in a shallow copy ndarray
y = pd.DataFrame(df_load[yname]) # extract selected features as X and y DataFrames
X = df_load[Xname]
df = pd.concat([X,y],axis=1) # make one DataFrame with both X and y (remove all other features)
Let’s make sure that we have selected reasonable features to build a model
the 2 predictor features are not collinear, as this would result in an unstable prediction model
each of the features are related to the response feature, the predictor features inform the response
Calculate the Correlation Matrix and Correlation with Response Ranking#
Let’s start with correlation analysis. We can calculate and view the correlation matrix and correlation to the response features with these previously declared functions.
correlation analysis is based on the assumption of linear relationships, but it is a good start
corr_matrix = df.corr()
correlation = corr_matrix.iloc[:,-1].values[:-1]
plt.subplot(121)
plot_corr(corr_matrix,'Correlation Matrix',1.0,0.1) # using our correlation matrix visualization function
plt.xlabel('Features'); plt.ylabel('Features')
plt.subplot(122)
feature_rank_plot(Xname,correlation,-1.0,1.0,0.0,'Feature Ranking, Correlation with ' + yname,'Correlation',0.5)
plt.subplots_adjust(left=0.0, bottom=0.0, right=2.0, top=0.8, wspace=0.2, hspace=0.3); plt.show()

Note the 1.0 diagonal resulting from the correlation of each variable with themselves.
This looks good. There is a mix of correlation magnitudes. Of course, correlation coefficients are limited to degree of linear correlations.
Let’s look at the matrix scatter plot to see the pairwise relationship between the features.
pairgrid = sns.PairGrid(df,vars=Xname+[yname]) # matrix scatter plots
pairgrid = pairgrid.map_upper(plt.scatter, color = 'darkorange', edgecolor = 'black', alpha = 0.8, s = 10)
pairgrid = pairgrid.map_diag(plt.hist, bins = 20, color = 'darkorange',alpha = 0.8, edgecolor = 'k')# Map a density plot to the lower triangle
pairgrid = pairgrid.map_lower(sns.kdeplot, cmap = plt.cm.inferno,
alpha = 1.0, n_levels = 10)
pairgrid.add_legend()
plt.subplots_adjust(left=0.0, bottom=0.0, right=0.9, top=0.9, wspace=0.2, hspace=0.2); plt.show()

Train and Test Split#
For convenience and simplicity we use scikit-learn’s random train and test split.
X_train, X_test, y_train, y_test = train_test_split(X,y,test_size=0.25,random_state=73073) # train and test split
df_train = pd.concat([X_train,y_train],axis=1) # make one train DataFrame with both X and y (remove all other features)
df_test = pd.concat([X_test,y_test],axis=1) # make one testin DataFrame with both X and y (remove all other features)
Visualize the DataFrame#
Visualizing the train and test DataFrame is useful check before we build our models.
many things can go wrong, e.g., we loaded the wrong data, all the features did not load, etc.
We can preview by utilizing the ‘head’ DataFrame member function (with a nice and clean format, see below).
print(' Training DataFrame Testing DataFrame')
display_sidebyside(df_train,df_test) # custom function for side-by-side DataFrame display
Training DataFrame Testing DataFrame
Por | Brittle | Production | |
---|---|---|---|
86 | 12.83 | 29.87 | 995.700671 |
35 | 17.39 | 56.43 | 6060.760806 |
75 | 12.23 | 40.67 | 3744.177137 |
36 | 13.72 | 40.24 | 4203.470533 |
126 | 12.83 | 17.20 | 2917.165695 |
Por | Brittle | Production | |
---|---|---|---|
5 | 15.55 | 58.25 | 5619.930037 |
46 | 20.21 | 23.78 | 3897.440411 |
96 | 15.07 | 39.39 | 4504.608029 |
45 | 12.10 | 63.24 | 3613.953926 |
105 | 19.54 | 37.40 | 5314.937997 |
Summary Statistics for Tabular Data#
There are a lot of efficient methods to calculate summary statistics from tabular data in DataFrames.
The describe command provides count, mean, minimum, maximum in a nice data table.
print(' Training DataFrame Testing DataFrame') # custom function for side-by-side summary statistics
display_sidebyside(df_train.describe().loc[['count', 'mean', 'std', 'min', 'max']],df_test.describe().loc[['count', 'mean', 'std', 'min', 'max']])
Training DataFrame Testing DataFrame
Por | Brittle | Production | |
---|---|---|---|
count | 105.000000 | 105.000000 | 105.000000 |
mean | 14.859238 | 48.861143 | 4192.479746 |
std | 3.057228 | 14.432050 | 1347.391355 |
min | 7.220000 | 10.940000 | 357.449794 |
max | 23.550000 | 84.330000 | 7934.478879 |
Por | Brittle | Production | |
---|---|---|---|
count | 35.000000 | 35.000000 | 35.000000 |
mean | 15.011714 | 46.798286 | 4431.830496 |
std | 3.574467 | 13.380910 | 1487.184992 |
min | 6.550000 | 20.120000 | 1572.738774 |
max | 20.860000 | 68.760000 | 7668.639376 |
It is good that we checked the summary statistics.
there are no obvious issues
check out the range of values for each feature to set up and adjust plotting limits. See above.
Visualize the Train and Test Splits#
Let’s check the consistency and coverage of training and testing with histograms and scatter plots.
check to make sure the training and testing cover the range of possible feature combinations
ensure we are not extrapolating beyond the training data with the testing cases
nbins = 20 # number of histogram bins
plt.subplot(131) # predictor feature #1 histogram
freq1,_,_ = plt.hist(x=df_train[Xname[0]],weights=None,bins=np.linspace(Xmin[0],Xmax[0],nbins),alpha = 0.6,
edgecolor='black',color='darkorange',density=False,label='Train')
freq2,_,_ = plt.hist(x=df_test[Xname[0]],weights=None,bins=np.linspace(Xmin[0],Xmax[0],nbins),alpha = 0.6,
edgecolor='black',color='red',density=False,label='Test')
max_freq = max(freq1.max()*1.10,freq2.max()*1.10)
plt.xlabel(Xlabelunit[0]); plt.ylabel('Frequency'); plt.ylim([0.0,max_freq]); plt.title(Xlabel[0]); add_grid()
plt.xlim([Xmin[0],Xmax[0]]); plt.legend(loc='upper right')
plt.subplot(132) # predictor feature #2 histogram
freq1,_,_ = plt.hist(x=df_train[Xname[1]],weights=None,bins=np.linspace(Xmin[1],Xmax[1],nbins),alpha = 0.6,
edgecolor='black',color='darkorange',density=False,label='Train')
freq2,_,_ = plt.hist(x=df_test[Xname[1]],weights=None,bins=np.linspace(Xmin[1],Xmax[1],nbins),alpha = 0.6,
edgecolor='black',color='red',density=False,label='Test')
max_freq = max(freq1.max()*1.10,freq2.max()*1.10)
plt.xlabel(Xlabelunit[1]); plt.ylabel('Frequency'); plt.ylim([0.0,max_freq]); plt.title(Xlabel[1]); add_grid()
plt.xlim([Xmin[1],Xmax[1]]); plt.legend(loc='upper right')
plt.subplot(133) # predictor features #1 and #2 scatter plot
plt.scatter(df_train[Xname[0]],df_train[Xname[1]],s=40,marker='o',color = 'darkorange',alpha = 0.8,edgecolor = 'black',zorder=10,label='Train')
plt.scatter(df_test[Xname[0]],df_test[Xname[1]],s=40,marker='o',color = 'red',alpha = 0.8,edgecolor = 'black',zorder=10,label='Test')
plt.title(Xlabel[1] + ' vs ' + Xlabel[0])
plt.xlabel(Xlabelunit[0]); plt.ylabel(Xlabelunit[1])
plt.legend(); add_grid(); plt.xlim([Xmin[0],Xmax[0]]); plt.ylim([Xmin[1],Xmax[1]])
plt.subplots_adjust(left=0.0, bottom=0.0, right=2.5, top=0.8, wspace=0.3, hspace=0.2)
#plt.savefig('Test.pdf', dpi=600, bbox_inches = 'tight',format='pdf')
plt.show()

Sometimes I find it more convenient to compare distributions by looking at CDF’s instead of histograms.
we avoid the arbitrary choice of histogram bin size, because CDF’s are at the data resolution.
plt.subplot(131) # predictor feature #1 CDF
plot_CDF(X_train[Xname[0]],'darkorange',alpha=0.6,lw=1,ls='solid',label='Train')
plot_CDF(X_test[Xname[0]],'red',alpha=0.6,lw=1,ls='solid',label='Test')
plt.xlabel(Xlabelunit[0]); plt.xlim(Xmin[0],Xmax[0]); plt.ylim([0,1]); add_grid(); plt.legend(loc='lower right')
plt.title(Xlabel[0] + ' Train and Test CDFs')
plt.subplot(132) # predictor feature #2 CDF
plot_CDF(X_train[Xname[1]],'darkorange',alpha=0.6,lw=1,ls='solid',label='Train')
plot_CDF(X_test[Xname[1]],'red',alpha=0.6,lw=1,ls='solid',label='Test')
plt.xlabel(Xlabelunit[1]); plt.xlim(Xmin[1],Xmax[1]); plt.ylim([0,1]); add_grid(); plt.legend(loc='lower right')
plt.title(Xlabel[1] + ' Train and Test CDFs')
plt.subplot(133) # response feature CDF
plot_CDF(y_train[yname],'darkorange',alpha=0.6,lw=1,ls='solid',label='Train')
plot_CDF(y_test[yname],'red',alpha=0.6,lw=1,ls='solid',label='Test')
plt.xlabel(ylabelunit); plt.xlim(ymin,ymax); plt.ylim([0,1]); add_grid(); plt.legend(loc='lower right')
plt.title(ylabel + ' Train and Test CDFs')
plt.subplots_adjust(left=0.0, bottom=0.0, right=2.5, top=0.8, wspace=0.3, hspace=0.2)
#plt.savefig('Test.pdf', dpi=600, bbox_inches = 'tight',format='pdf')
plt.show()

Once again, the distributions are well behaved,
we cannot observe obvious gaps nor truncations.
check coverage of the train and test data
Let’s look at a scatter plot of Porosity vs. Brittleness with points colored by Production.
plt.subplot(111) # visualize the train and test data in predictor feature space
im = plt.scatter(X_train[Xname[0]],X_train[Xname[1]],s=None, c=y_train[yname], marker='o', cmap=cmap,
norm=None, vmin=ymin, vmax=ymax, alpha=0.8, linewidths=0.3, edgecolors="black", label = 'Train')
plt.scatter(X_test[Xname[0]],X_test[Xname[1]],s=None, c=y_test[yname], marker='s', cmap=cmap,
norm=None, vmin=ymin, vmax=ymax, alpha=0.5, linewidths=0.3, edgecolors="black", label = 'Test')
plt.title('Training ' + ylabel + ' vs. ' + Xlabel[1] + ' and ' + Xlabel[0]);
plt.xlabel(Xlabel[0] + ' (' + Xunit[0] + ')'); plt.ylabel(Xlabel[1] + ' (' + Xunit[1] + ')')
plt.xlim(Xmin[0],Xmax[0]); plt.ylim(Xmin[1],Xmax[1]); plt.legend(loc = 'upper right'); add_grid()
cbar = plt.colorbar(im, orientation = 'vertical')
cbar.set_label(ylabel + ' (' + yunit + ')', rotation=270, labelpad=20)
cbar.ax.yaxis.set_major_formatter(FuncFormatter(comma_format))
plt.subplots_adjust(left=0.0, bottom=0.0, right=1.0, top=1.0, wspace=0.2, hspace=0.2); plt.show()

Tree-based Boosting#
To perform tree-based boosting, gradient boosting tree regression we:
set the hyperparameters for our model
params = {
'loss': 'squared_error' # L2 Norm - least squares
'n_estimators': 1, # number of trees
'max_depth': 1, # maximum depth per tree
'learning_rate': 1,
'criterion': 'squared_error' # tree construction criterion
}
instantiate the model
boost_tree = GradientBoostingRegressor(**params)
train the model
boot_tree.fit(X = predictors, y = response)
visualize the model result over the feature space (easy to do as we have only 2 predictor features)
Demonstration of Boosting#
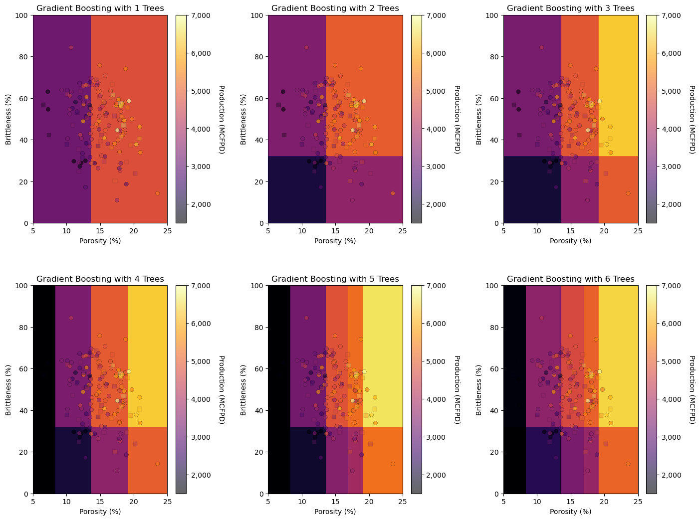
For demonstration let’s set tree maximum depth to 1 and 6 tree-based boosting regression trees.
each tree only has a single split, called decision stumps. This will prevent interaction between the predictor features and be highly interpretable
You should be able to observe the additive nature of the trees, see the first tree and then the first plus the second tree and so on.
recall the estimate is the summation of multiple trees
since we are working with fitting a gradient after the first tree, we can have negative and positive estimates
in this example we can see some production estimates that are actually negative
params = {
'loss': 'squared_error', # L2 Norm - least squares
'max_depth': 1,
'learning_rate': 1.0,
'criterion': 'squared_error' # tree construction criteria is mean square error over training
}
num_trees = np.linspace(1,6,6) # build a list of numbers of trees
boosting_models = []; score = []; pred = [] # arrays for storage of models and model summaries
index = 1
for num_tree in num_trees: # loop over number of trees
boosting_models.append(GradientBoostingRegressor(n_estimators=int(num_tree),**params))
boosting_models[index-1].fit(X = X_train, y = y_train)
score.append(boosting_models[index-1].score(X = X_test, y = y_test))
plt.subplot(2,3,index)
pred.append(visualize_model(boosting_models[index-1],X_train[Xname[0]],X_test[Xname[0]],X_train[Xname[1]],X_test[Xname[1]],Xmin,Xmax,
y_train[yname],y_test[yname],ymin,ymax,'Gradient Boosting with ' + str(int(num_tree)) + ' Trees',Xname,yname,Xlabelunit,ylabelunit))
index = index + 1
plt.subplots_adjust(left=0.0, bottom=0.0, right=2.0, top=2.0, wspace=0.4, hspace=0.3); plt.show()

Notice that there is significant misfit with the data
we have only used up to 6 decision stumps (1 decision tree)
Let’s check the cross validation results with the withheld testing data.
index = 1
for num_tree in num_trees: # check over number of trees
plt.subplot(2,3,index)
check_model(boosting_models[index-1],X_test,y_test,ymin,ymax,ylabelunit,'Tree-Based Boosting with ' + str(int(num_tree)) + ' Trees')
index = index + 1
plt.subplots_adjust(left=0.0, bottom=0.0, right=2.0, top=2.0, wspace=0.4, hspace=0.3)

Of course with a single tree we do quite poorly, but by the time we get to 6 stump trees we cut the MSE almost in half.
Time to Build More Trees#
Now let’s demonstrate the result of utilizing many more trees in our tree-based boosting model.
we will still work with simple decision stumps, don’t worry we will add more later
params = {
'loss': 'squared_error', # L2 Norm - least squares
'max_depth': 1, # maximum depth per tree
'learning_rate': 1,
'criterion': 'squared_error' # tree construction criteria is mean square error over training
}
num_trees = [5,10,20,100,500,5000] # build a list of numbers of trees
boosting_models = []; score = []; pred = [] # arrays for storage of models and model summaries
index = 1
for num_tree in num_trees: # loop over number of trees
boosting_models.append(GradientBoostingRegressor(n_estimators=int(num_tree),**params))
boosting_models[index-1].fit(X = X_train, y = y_train)
score.append(boosting_models[index-1].score(X = X_test, y = y_test))
plt.subplot(2,3,index)
pred.append(visualize_model(boosting_models[index-1],X_train[Xname[0]],X_test[Xname[0]],X_train[Xname[1]],X_test[Xname[1]],Xmin,Xmax,
y_train[yname],y_test[yname],ymin,ymax,'Gradient Boosting with ' + str(int(num_tree)) + ' Trees',Xname,yname,Xlabelunit,ylabelunit))
index = index + 1
plt.subplots_adjust(left=0.0, bottom=0.0, right=2.0, top=2.0, wspace=0.4, hspace=0.3)

See the plaid pattern? It is due to the use of decision stumps, and:
an additive model
all models contribute to all predictions
See the dark and bright regions?
the additive model may extrapolate outside the data range
Let’s cross validate with our testing data to see how our model has improved with more trees.
index = 1
for num_tree in num_trees: # check over number of trees
plt.subplot(2,3,index)
check_model(boosting_models[index-1],X_test,y_test,ymin,ymax,ylabelunit,'Tree-Based Boosting with ' + str(int(num_tree)) + ' Trees')
index = index + 1
plt.subplots_adjust(left=0.0, bottom=0.0, right=2.0, top=2.0, wspace=0.4, hspace=0.3)

Around 20 trees we get our best performance and then we start to degrade, we are likely starting to overfit the training data.
Going Beyond Decision Stumps#
As state before with decision stumps we prevent interactions between features.
Let’s extend to tree depth of 2
two nested decisions resulting in 4 terminal nodes
params = {
'loss': 'squared_error', # L2 Norm - least squares
'max_depth': 2, # maximum depth per tree
'learning_rate': 1,
'criterion': 'squared_error' # tree construction criteria is mean square error over training
}
num_trees = [5,10,20,100,500,5000] # build a list of numbers of trees
boosting_models = []; score = []; pred = [] # arrays for storage of models and model summaries
index = 1
for num_tree in num_trees: # loop over number of trees
boosting_models.append(GradientBoostingRegressor(n_estimators=int(num_tree),**params))
boosting_models[index-1].fit(X = X_train, y = y_train)
score.append(boosting_models[index-1].score(X = X_test, y = y_test))
plt.subplot(2,3,index)
pred.append(visualize_model(boosting_models[index-1],X_train[Xname[0]],X_test[Xname[0]],X_train[Xname[1]],X_test[Xname[1]],Xmin,Xmax,
y_train[yname],y_test[yname],ymin,ymax,'Gradient Boosting with ' + str(int(num_tree)) + ' Trees',Xname,yname,Xlabelunit,ylabelunit))
index = index + 1
plt.subplots_adjust(left=0.0, bottom=0.0, right=2.0, top=2.0, wspace=0.4, hspace=0.3)

We have much more flexibility now.
with one tree we have 4 terminal nodes (regions)
with only 6 trees we are capturing some complicate features
Let’s increase the tree depth one more time.
params = {
'loss': 'squared_error', # L2 Norm - least squares
'max_depth': 3, # maximum depth per tree
'learning_rate': 1,
'criterion': 'squared_error' # tree construction criteria is mean square error over training
}
num_trees = [5,10,20,100,500,5000] # build a list of numbers of trees
boosting_models = []; score = []; pred = [] # arrays for storage of models and model summaries
index = 1
for num_tree in num_trees: # loop over number of trees
boosting_models.append(GradientBoostingRegressor(n_estimators=int(num_tree),**params))
boosting_models[index-1].fit(X = X_train, y = y_train)
score.append(boosting_models[index-1].score(X = X_test, y = y_test))
plt.subplot(2,3,index)
pred.append(visualize_model(boosting_models[index-1],X_train[Xname[0]],X_test[Xname[0]],X_train[Xname[1]],X_test[Xname[1]],Xmin,Xmax,
y_train[yname],y_test[yname],ymin,ymax,'Gradient Boosting with ' + str(int(num_tree)) + ' Trees',Xname,yname,Xlabelunit,ylabelunit))
index = index + 1
plt.subplots_adjust(left=0.0, bottom=0.0, right=2.0, top=2.0, wspace=0.4, hspace=0.3)

One more time, it is common to use trees with depths of 4-8, so let’s try 5.
params = {
'loss': 'squared_error', # L2 Norm - least squares
'max_depth': 5, # maximum depth per tree
'learning_rate': 1,
'criterion': 'squared_error' # tree construction criteria is mean square error over training
}
num_trees = [5,10,20,100,500,5000] # build a list of numbers of trees
boosting_models = []; score = []; pred = [] # arrays for storage of models and model summaries
index = 1
for num_tree in num_trees: # loop over number of trees
boosting_models.append(GradientBoostingRegressor(n_estimators=int(num_tree),**params))
boosting_models[index-1].fit(X = X_train, y = y_train)
score.append(boosting_models[index-1].score(X = X_test, y = y_test))
plt.subplot(2,3,index)
pred.append(visualize_model(boosting_models[index-1],X_train[Xname[0]],X_test[Xname[0]],X_train[Xname[1]],X_test[Xname[1]],Xmin,Xmax,
y_train[yname],y_test[yname],ymin,ymax,'Gradient Boosting with ' + str(int(num_tree)) + ' Trees',Xname,yname,Xlabelunit,ylabelunit))
index = index + 1
plt.subplots_adjust(left=0.0, bottom=0.0, right=2.0, top=2.0, wspace=0.4, hspace=0.3)

Let’s cross validate the model with testing data.
index = 1
for num_tree in num_trees: # check over number of trees
plt.subplot(2,3,index)
check_model(boosting_models[index-1],X_test,y_test,ymin,ymax,ylabelunit,'Tree-Based Boosting with ' + str(int(num_tree)) + ' Trees')
index = index + 1
plt.subplots_adjust(left=0.0, bottom=0.0, right=2.0, top=2.0, wspace=0.4, hspace=0.3)

With a max tree depth of 5 our model performance peaks early and the addition of more trees has no impact.
of course this is not a thorough analysis
Let’s try something more thorough
we will cross validate models with \(1,\ldots,100\) trees with max tree depths of \(1, 2, 3, 10\).
we also slow down the learning rate, I increased it above to amplify the difference of the outputs for demonstration, but know we want to see the best possible model.
num_trees = np.linspace(1,200,200)
max_features = 1
MSE1_list = []; MSE2_list = []; MSE3_list = []; MSE4_list = []
params1 = {
'loss': 'squared_error', # L2 Norm - least squares
'max_depth': 1, # maximum depth per tree
'learning_rate': 0.2,
'criterion': 'squared_error' # tree construction criteria is mean square error over training
}
params2 = {
'loss': 'squared_error', # L2 Norm - least squares
'max_depth': 2, # maximum depth per tree
'learning_rate': 0.2,
'criterion': 'squared_error' # tree construction criteria is mean square error over training
}
params3 = {
'loss': 'squared_error', # L2 Norm - least squares
'max_depth': 3, # maximum depth per tree
'learning_rate': 0.2,
'criterion': 'squared_error' # tree construction criteria is mean square error over training
}
params4 = {
'loss': 'squared_error', # L2 Norm - least squares
'max_depth': 10, # maximum depth per tree
'learning_rate': 0.2,
'criterion': 'squared_error' # tree construction criteria is mean square error over training
}
index = 1
for num_tree in num_trees: # loop over number of trees in our random forest
boosting_model1 = GradientBoostingRegressor(n_estimators=int(num_tree),**params1).fit(X = X_train, y = y_train)
y_test1_hat = boosting_model1.predict(X_test); MSE1_list.append(metrics.mean_squared_error(y_test,y_test1_hat))
boosting_model2 = GradientBoostingRegressor(n_estimators=int(num_tree),**params2).fit(X = X_train, y = y_train)
y_test2_hat = boosting_model2.predict(X_test); MSE2_list.append(metrics.mean_squared_error(y_test,y_test2_hat))
boosting_model3 = GradientBoostingRegressor(n_estimators=int(num_tree),**params3).fit(X = X_train, y = y_train)
y_test3_hat = boosting_model3.predict(X_test); MSE3_list.append(metrics.mean_squared_error(y_test,y_test3_hat))
boosting_model4 = GradientBoostingRegressor(n_estimators=int(num_tree),**params4).fit(X = X_train, y = y_train)
y_test4_hat = boosting_model4.predict(X_test); MSE4_list.append(metrics.mean_squared_error(y_test,y_test4_hat))
index = index + 1
plt.subplot(111) # plot jackknife results for all cases
plt.scatter(num_trees,MSE1_list,s=None,c='red',marker=None,cmap=None,norm=None,vmin=None,vmax=None,alpha=0.6,
linewidths=0.3,edgecolors="black",label = "Tree Depth = 1")
plt.scatter(num_trees,MSE2_list,s=None,c='blue',marker=None,cmap=None,norm=None,vmin=None,vmax=None,alpha=0.6,
linewidths=0.3,edgecolors="black",label = "Tree Depth = 2")
plt.scatter(num_trees,MSE3_list,s=None,c='black',marker=None,cmap=None,norm=None,vmin=None,vmax=None,alpha=0.6,
linewidths=0.3,edgecolors="black",label = "Tree Depth = 3")
plt.scatter(num_trees,MSE4_list,s=None,c='green',marker=None,cmap=None,norm=None,vmin=None,vmax=None,alpha=0.6,
linewidths=0.3,edgecolors="black",label = "Tree Depth = 10")
plt.title('Testing Mean Square Error vs. Number of Trees'); plt.xlabel('Number of Trees'); plt.ylabel('Test Mean Square Error')
plt.xlim(0,200); plt.legend(loc='lower right'); add_grid()
plt.gca().yaxis.set_major_formatter(FuncFormatter(comma_format))
plt.subplots_adjust(left=0.0, bottom=0.0, right=2.0, top=1.1, wspace=0.2, hspace=0.2); plt.show()

That’s interesting:
with increasing tree depths our model may improve
more tree depth requires fewer trees for improved accuracy
with tree depths of 2 and 3 the models behave the same and after 10-15 trees level off, they are resistant to overfit
with tree depth of 10, the number of trees has no impact of model performance
Gradient Descent Hyperparameters#
The learning rate scales the additive impact of each additive tree to the overall model prediction.
lower learning rate will slow the convergence to a solution
lower learning rate will help us not skip over an optimum solution
We won’t spend much time on this, but let’s just try changing the learning rate.
learning_rates = np.arange(0.01,1.0,0.01)
MSE1_list = []; MSE2_list = []; MSE3_list = []; MSE4_list = []
params1 = {
'loss': 'squared_error', # L2 Norm - least squares
'max_depth': 5, # maximum depth per tree
'n_estimators': 40,
'criterion': 'squared_error' # tree construction criteria is mean square error over training
}
params2 = {
'loss': 'squared_error', # L2 Norm - least squares
'max_depth': 5, # maximum depth per tree
'n_estimators': 40,
'criterion': 'squared_error' # tree construction criteria is mean square error over training
}
params3 = {
'loss': 'squared_error', # L2 Norm - least squares
'max_depth': 5, # maximum depth per tree
'n_estimators': 40,
'criterion': 'squared_error' # tree construction criteria is mean square error over training
}
params4 = {
'loss': 'squared_error', # L2 Norm - least squares
'max_depth': 5, # maximum depth per tree
'n_estimators': 40,
'criterion': 'squared_error' # tree construction criteria is mean square error over training
}
index = 1
for learning_rate in learning_rates: # loop over number of trees in our random forest
boosting_model1 = GradientBoostingRegressor(learning_rate = learning_rate,**params1).fit(X = X_train, y = y_train)
y_test1_hat = boosting_model1.predict(X_test); MSE1_list.append(metrics.mean_squared_error(y_test,y_test1_hat))
boosting_model2 = GradientBoostingRegressor(learning_rate = learning_rate,**params2).fit(X = X_train, y = y_train)
y_test2_hat = boosting_model2.predict(X_test); MSE2_list.append(metrics.mean_squared_error(y_test,y_test2_hat))
boosting_model3 = GradientBoostingRegressor(learning_rate = learning_rate,**params3).fit(X = X_train, y = y_train)
y_test3_hat = boosting_model3.predict(X_test); MSE3_list.append(metrics.mean_squared_error(y_test,y_test3_hat))
boosting_model4 = GradientBoostingRegressor(learning_rate = learning_rate,**params4).fit(X = X_train, y = y_train)
y_test4_hat = boosting_model4.predict(X_test); MSE4_list.append(metrics.mean_squared_error(y_test,y_test4_hat))
index = index + 1
plt.subplot(111) # plot jackknife results for all cases
plt.scatter(learning_rates,MSE1_list,s=None,c='red',marker=None,cmap=None,norm=None,vmin=None,vmax=None,alpha=0.6,
linewidths=0.3,edgecolors="black",label = "Tree Depth = 1")
plt.scatter(learning_rates,MSE2_list,s=None,c='blue',marker=None,cmap=None,norm=None,vmin=None,vmax=None,alpha=0.6,
linewidths=0.3,edgecolors="black",label = "Tree Depth = 2")
plt.scatter(learning_rates,MSE3_list,s=None,c='black',marker=None,cmap=None,norm=None,vmin=None,vmax=None,alpha=0.6,
linewidths=0.3,edgecolors="black",label = "Tree Depth = 3")
plt.scatter(learning_rates,MSE4_list,s=None,c='green',marker=None,cmap=None,norm=None,vmin=None,vmax=None,alpha=0.6,
linewidths=0.3,edgecolors="black",label = "Tree Depth = 10")
plt.title('Testing Mean Square Error vs. Learning Rate'); plt.xlabel('Learning Rate'); plt.ylabel('Test Mean Square Error')
plt.xlim(0.0,1.0); plt.legend(loc='upper left'); add_grid()
plt.gca().yaxis.set_major_formatter(FuncFormatter(comma_format))
plt.subplots_adjust(left=0.0, bottom=0.0, right=2.0, top=1.1, wspace=0.2, hspace=0.2); plt.show()

Once again, a very interesting result.
regardless of tree complexity, it is better to learn slowly!
Machine Learning Pipelines for Clean, Compact Machine Learning Code#
Pipelines are a scikit-learn class that allows for the encapsulation of a sequence of data preparation and modeling steps
then we can treat the pipeline as an object in our much condensed workflow
The pipeline class allows us to:
improve code readability and to keep everything straight
build complete workflows with very few lines of readable code
avoid common workflow problems like data leakage, testing data informing model parameter training
abstract common machine learning modeling and focus on building the best model possible
The fundamental philosophy is to treat machine learning as a combinatorial search to find the best model (AutoML)
For more information see my recorded lecture on Machine Learning Pipelines and a well-documented demonstration Machine Learning Pipeline Workflow.
x1 = 0.25; x2 = 0.3 # predictor values for the prediction
pipe_boosting = Pipeline([ # the machine learning workflow as a pipeline object
('boosting', GradientBoostingRegressor())
])
params = { # the machine learning workflow method's parameters to search
'boosting__learning_rate': np.arange(0.1,2.0,0.2),
'boosting__n_estimators': np.arange(2,40,4,dtype = int),
}
tuned_boosting = GridSearchCV(pipe_boosting,params,scoring = 'neg_mean_squared_error', # hyperparameter tuning w. grid search k-fold cross validation
refit = True)
tuned_boosting.fit(X,y) # tune the model with k-fold and then train the model will the data
print('Tuned hyperparameter: ' + str(tuned_boosting.best_params_))
estimate = tuned_boosting.predict([[x1,x2]])[0] # make a prediction (no tuning shown)
print('Estimated ' + ylabel + ' for ' + Xlabel[0] + ' = ' + str(x1) + ' and ' + Xlabel[1] + ' = ' + str(x2) + ' is ' +
str(round(estimate,1)) + ' ' + yunit) # print results
Tuned hyperparameter: {'boosting__learning_rate': 0.30000000000000004, 'boosting__n_estimators': 10}
Estimated Production for Porosity = 0.25 and Brittleness = 0.3 is 1979.7 MCFPD
Want to Work Together?#
I hope this content is helpful to those that want to learn more about subsurface modeling, data analytics and machine learning. Students and working professionals are welcome to participate.
Want to invite me to visit your company for training, mentoring, project review, workflow design and / or consulting? I’d be happy to drop by and work with you!
Interested in partnering, supporting my graduate student research or my Subsurface Data Analytics and Machine Learning consortium (co-PI is Professor John Foster)? My research combines data analytics, stochastic modeling and machine learning theory with practice to develop novel methods and workflows to add value. We are solving challenging subsurface problems!
I can be reached at mpyrcz@austin.utexas.edu.
I’m always happy to discuss,
Michael
Michael Pyrcz, Ph.D., P.Eng. Professor, Cockrell School of Engineering and The Jackson School of Geosciences, The University of Texas at Austin
Comments#
I hope you found this chapter helpful. Much more could be done and discussed, I have many more resources. Check out my shared resource inventory,
Michael