
3D Simulation#
Michael J. Pyrcz, Professor, The University of Texas at Austin
Twitter | GitHub | Website | GoogleScholar | Book | YouTube | Applied Geostats in Python e-book | LinkedIn
Chapter of e-book “Applied Geostatistics in Python: a Hands-on Guide with GeostatsPy”.
Cite this e-Book as:
Pyrcz, M.J., 2024, Applied Geostatistics in Python: a Hands-on Guide with GeostatsPy [e-book]. Zenodo. doi:10.5281/zenodo.15169133
The workflows in this book and more are available here:
Cite the GeostatsPyDemos GitHub Repository as:
Pyrcz, M.J., 2024, GeostatsPyDemos: GeostatsPy Python Package for Spatial Data Analytics and Geostatistics Demonstration Workflows Repository (0.0.1) [Software]. Zenodo. doi:10.5281/zenodo.12667036. GitHub Repository: GeostatsGuy/GeostatsPyDemos
By Michael J. Pyrcz
© Copyright 2024.
This chapter is a tutorial for / demonstration of 3D simulation with GeostatsPy. This includes codes and a demonstration with,
defining the 3D variogram models
3D sequential indicator simulation
3D sequential Gaussian simulation
For the theory with links to my record lectures see the previous 2D modeling chapters,
In these chapters you will get all of the needed theory and demonstrations.
Geostatistics in 3D#
I have a confession: many of the GSLIB functions in the GeostatsPy Python package were ported or written from scratch by me, often late at night and into the early morning hours, just in time for the next day’s lecture.
Back in 2018, I desperately needed a usable, open-source geostatistics Python package to teach my courses. I found one, but on the first day of the semester, it broke due to an update in a dependent package. With no alternatives, I decided to build my own. My goal was simple,
implement the minimum necessary tools to teach geostatistics in practice, not just in theory.
Because:
you can’t teach geostatistics without algorithms
students weren’t going to edit parameter files and run old FORTRAN GSLIB executables. (I tried that once—many students dropped the course in the first week!)
my Excel demonstrations are great for theory and math, but they don’t support building full models.
So, in those early days, I made a key decision, everything would be in 2D only. Why?
there is less urgency for streamlined, optimized codes.
it made testing and debugging much easier.
it was perfect for live demos and slides, easy to explain, visualize, and diagnose.
Fast forward to now… I’m lucky to have an amazing graduate student team—typically 12–15 students, mostly PhDs—and many of them want to build 3D geostatistical models. So, I couldn’t help myself. I went back and updated every function, search algorithms, kriging, distance metrics with geometric anisotropy, and more… and finally,
sgsim_3D - a 3D implementation of sequential Gaussian simulation
sisim_3D - a 3D implementation of sequential indicator simulation
In the spirit of package documentation, I have converted my testing workflow into this e-book chapter, but I must include a warning. This is the initial version of these 2 3D algorithms with minimal testing. I have tested,
simple and ordinary kriging
stationary mean or proportion realizations
data conditioning
but I have not yet tested,
locally variable mean / proportion
collocated cokriging
For large 3D models, I still recommend the GSLIB wrappers in the GSLIB module of GeostatsPy,
GSLIB.sgsim_3D - writes out a GSLIB .par file, executes the sgsim.exe and then reads the output back as a 3D ndarray.
GSLIB.sisim_3D (TO BE ADDED SOON) - writes out a GSLIB .par file, executes the sisim.exe and then reads the output back as a 3D ndarray.
In my experience, the Python implementation of GeostatsPy cannot compete with the speed original FORTRAN GSLIB for large models!
I hope this is helpful, I welcome any bug reports or suggestions,
Michael
import geostatspy.GSLIB as GSLIB # we just need the plotting methods
import geostatspy.geostats as geostats # we just need the method for making variogram
import geostatspy
print('GeostatsPy version: ' + str(geostatspy.__version__))
GeostatsPy version: 0.0.78
We will also need some standard packages. These should have been installed with Anaconda 3.
import os # set working directory, run executables
from tqdm import tqdm # suppress the status bar
from functools import partialmethod
tqdm.__init__ = partialmethod(tqdm.__init__, disable=True)
ignore_warnings = True # ignore warnings?
import numpy as np # ndarrays for gridded data
import pandas as pd # DataFrames for tabular data
import matplotlib.pyplot as plt # for plotting
import matplotlib.gridspec as gridspec # flexible subplots
import matplotlib as mpl # custom colorbar
from mpl_toolkits.mplot3d import Axes3D # 3D plotting
from matplotlib.ticker import (MultipleLocator, AutoMinorLocator) # control of axes ticks
plt.rc('axes', axisbelow=True) # plot all grids below the plot elements
if ignore_warnings == True:
import warnings
warnings.filterwarnings('ignore')
cmap = plt.cm.inferno # color map
Make Custom Colorbar#
We make this colorbar to display our categorical, sand and shale facies.
cmap_facies = mpl.colors.ListedColormap(['grey','gold'])
cmap_facies.set_over('white'); cmap_facies.set_under('white')
Declare Functions#
Here’s some convience functions to support this demonstration workflow,
adding gridlines to our plots
making a 3D grid parameter dictionary
making a set of center slice plots with annotation for our 3D models
def add_grid():
plt.gca().grid(True, which='major',linewidth = 1.0); plt.gca().grid(True, which='minor',linewidth = 0.2) # add y grids
plt.gca().tick_params(which='major',length=7); plt.gca().tick_params(which='minor', length=4)
plt.gca().xaxis.set_minor_locator(AutoMinorLocator()); plt.gca().yaxis.set_minor_locator(AutoMinorLocator()) # turn on minor ticks
def make_grid_3D(xmin, xmax, nx,ymin, ymax, ny,zmin, zmax, nz):
"""
Create a 3D grid dictionary with GEODAS-style parameters and computed extents.
Args:
xmin, xmax, nx: Grid min, max and number of cells in X
ymin, ymax, ny: Grid min, max and number of cells in Y
zmin, zmax, nz: Grid min, max and number of cells in Z
Returns:
dict containing:
- xsiz, ysiz, zsiz
- nx, ny, nz
- xmn, ymn, zmn (center of first cell)
- xmin, xmax, ymin, ymax, zmin, zmax (computed extents)
"""
assert xmax > xmin and nx > 0, "Invalid x-dimension parameters" # validate input
assert ymax > ymin and ny > 0, "Invalid y-dimension parameters"
assert zmax > zmin and nz > 0, "Invalid z-dimension parameters"
xsiz = (xmax - xmin) / nx # compute cell sizes
ysiz = (ymax - ymin) / ny
zsiz = (zmax - zmin) / nz
xmn = xmin + xsiz * 0.5 # compute centers of first cells (GEODAS-style)
ymn = ymin + ysiz * 0.5
zmn = zmin + zsiz * 0.5
xmin_calc = xmn - xsiz * 0.5 # recalculate extents from cell-center origin for consistency
xmax_calc = xmin_calc + nx * xsiz
ymin_calc = ymn - ysiz * 0.5
ymax_calc = ymin_calc + ny * ysiz
zmin_calc = zmn - zsiz * 0.5
zmax_calc = zmin_calc + nz * zsiz
return {
'xsiz': xsiz, 'ysiz': ysiz, 'zsiz': zsiz, # cell sizes
'nx': nx, 'ny': ny, 'nz': nz, # cell counts
'xmn': xmn, 'ymn': ymn, 'zmn': zmn, # origins (center of first cell)
'xmin': xmin_calc, 'xmax': xmax_calc, # calculated extents
'ymin': ymin_calc, 'ymax': ymax_calc,
'zmin': zmin_calc, 'zmax': zmax_calc
}
def plot_center_slices_3D(array,grd3D,title,feature,vmin,vmax,nvbin,cmap):
icx = int(grd3D['nx']/2); cx = grd3D['xmn'] + icx*grd3D['xsiz'] # center layers and slices for plotting
icy = int(grd3D['ny']/2); cy = grd3D['ymax'] - (grd3D['ymn'] + icy*grd3D['ysiz'])
icz = int(grd3D['nz']/2); cz = grd3D['zmn'] + icz*grd3D['zsiz']
gs = gridspec.GridSpec(2, 2, width_ratios=[2, 1]) # wider column on the left
fig = plt.figure(figsize=(10, 6))
ax1 = fig.add_subplot(gs[:, 0]) # left column, spans both rows
ax2 = fig.add_subplot(gs[0, 1]) # top right
ax3 = fig.add_subplot(gs[1, 1]) # bottom right
im1 = ax1.imshow(array[icz],interpolation = None,extent = [grd3D['xmin'],grd3D['xmax'],grd3D['ymin'],grd3D['ymax']],
vmin = vmin, vmax = vmax,cmap = cmap)
ax1.set_title(title + ' - iz = ' + str(icz)); ax1.set_xlabel('X (m)'); ax1.set_ylabel('Y (m)')
ax1.plot([grd3D['xmin'],grd3D['xmax']],[cy,cy],color='white'); ax1.plot([cx,cx],[grd3D['ymin'],grd3D['ymax']],color='white')
ax1.annotate('ix = ' + str(icx),[cx,grd3D['ymin']+ 0.91*(grd3D['ymin']+grd3D['ymax'])], rotation= 90.0)
ax1.annotate('iy = ' + str(icy),[grd3D['xmin']+ 0.02*(grd3D['xmin']+grd3D['xmax']),cy])
cbar = plt.colorbar(im1, orientation="vertical", ticks=np.linspace(vmin,vmax,nvbin)); cbar.set_label(feature, rotation=270, labelpad=20)
im2 = ax2.imshow(np.flip(array[:,:,icx],axis=1),interpolation = None,extent = [grd3D['xmin'],grd3D['xmax'],grd3D['zmin'],grd3D['zmax']],
vmin = vmin, vmax = vmax,cmap = cmap,aspect = 30.0)
ax2.set_title(title + ' - ix = ' + str(icx)); ax2.set_yticks([grd3D['zmin'],grd3D['zmax']])
ax2.plot([grd3D['xmin'],grd3D['xmax']],[cz,cz],color='white'); ax2.plot([cx,cx],[grd3D['zmin'],grd3D['zmax']],color='white')
ax2.annotate('iz = ' + str(icz),[grd3D['xmin']+ 0.02*(grd3D['xmin']+grd3D['xmax']),cz])
ax2.annotate('iy = ' + str(icy),[cy,grd3D['ymin']+ 0.1*(grd3D['zmin']+grd3D['zmax'])], rotation= 90.0)
ax2.set_xlabel('Y (m)'); ax2.set_ylabel('Z (m)')
im3 = ax3.imshow(array[:,icy,:],interpolation = None,extent = [grd3D['ymin'],grd3D['ymax'],grd3D['zmin'],grd3D['zmax']],
vmin = vmin, vmax = vmax,cmap = cmap,aspect = 30.0)
ax3.set_title(title + ' - iy = ' + str(icy)); ax3.set_yticks([grd3D['zmin'],grd3D['zmax']])
ax3.plot([grd3D['ymin'],grd3D['ymax']],[cz,cz],color='white'); ax3.plot([cy,cy],[grd3D['zmin'],grd3D['zmax']],color='white')
ax3.annotate('iz = ' + str(icz),[grd3D['xmin']+ 0.02*(grd3D['xmin']+grd3D['xmax']),cz])
ax3.annotate('ix = ' + str(icx),[cx,grd3D['xmin']+ 0.1*(grd3D['zmin']+grd3D['zmax'])], rotation= 90.0)
ax3.set_xlabel('X (m)'); ax3.set_ylabel('Z (m)')
plt.subplots_adjust(left=0.0, bottom=0.0, right=2.0, top=1.0, wspace=0.05, hspace=0.4); plt.show()
Specify the 3D Grid#
For computational efficiency we only use a few layers in Z vertical direction for fast model runs and ease of visualization,
we will veiw each iz layer as a plan view plot
I only plot the data on the lowest section, as I have set all the data to be at the cell centroids in the lowest layer
xmin = 0.0; ymin = 0.0; zmin = 0.0; xmax = 500.0; ymax = 500.0; zmax = 3.0
nx = 50; ny = 50; nz = 3 # number of cells
grd3D = make_grid_3D(xmin, xmax, nx,ymin, ymax, ny,zmin, zmax, nz) # make 3D grid dictionary
icx = int(grd3D['nx']/2); cx = grd3D['xmn'] + icx*grd3D['xsiz'] # center layers and slices for plotting
icy = int(grd3D['ny']/2); cy = grd3D['ymn'] + icy*grd3D['ysiz']
icz = int(grd3D['nz']/2); cz = grd3D['zmn'] + icz*grd3D['zsiz']
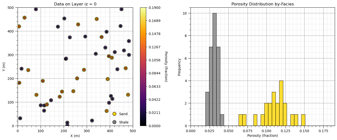
Make Synthetic Data#
We have 2 options,
random data
small provided data
More on the random data case,
since the data is random it is best to not include too much data as this woudl result in inconsistency with the selected variogram model
i.e., random data is 100% nugget effect
The data is in layer iz = 0 only,
to demonstrate exact conditioning on layer iz = 0 and spatial continuity with the other layers
to simply the plotting of data and model together, i.e., I show the data with the iz = 0 slice and remove the data for the other slices
These choices are all made to simplify this demonstration workflow.
seed = 73073; nbin = 40 # set the random seed again to ensure repeatable data
random_data = True; ndata = 50 # random data boolean and if random data, number of random data
if random_data == True: # method for making random data
np.random.seed(seed=seed)
dx = np.random.uniform(low=xmin, high=xmax, size=ndata)
dy = np.random.uniform(low=xmin, high=xmax, size=ndata)
dz = np.full((ndata),0.5)
por_sand = np.random.normal(loc=0.1, scale=0.025, size=ndata) # shale and sand values from respective distributions
por_shale = np.random.normal(loc=0.03, scale=0.005, size=ndata)
facies = np.random.randint(0,2,size=ndata) # shale (0) and sand (1)
porosity = np.where(facies == 0, por_shale, por_sand) # if shale take from shale distribution, otherwise the sand distribution
else:
dx = np.array([5.001,55.01,75.01,95.01]); dy = np.array([5.0,55.0,75.0,15.0]); dz = np.array([0.5,0.5,0.5,0.5])
porosity = np.array([0.06,0.09,0.12,0.15]);
df = pd.DataFrame({'X': dx,'Y':dy,'Z':dz,'Facies':facies,'Porosity':porosity})
df_shale = df[df['Facies'] == 0]; df_sand = df[df['Facies'] == 1]
pormin = 0.00; pormax = 0.19 # set feature min and max for colorbars
tmin = -99999.9; tmax = 99999.9
plt.subplot(121) # plot the sythetic data
sc = plt.scatter(df['X'],df['Y'],c=df['Facies'],s=100,cmap=cmap_facies,edgecolor='black',vmin=0,vmax=1,zorder=10)
sc = plt.scatter(df['X'],df['Y'],c=df['Porosity'],s=30,cmap=cmap,edgecolor='black',vmin=pormin,vmax=pormax,zorder=10)
cbar = plt.colorbar(sc, orientation="vertical", ticks=np.linspace(pormin,pormax,10))
cbar.set_label('Porosity (fraction)', rotation=270, labelpad=20)
plt.scatter([420,420],[15,50],c=[0,1],s=100,edgecolor='black',cmap=cmap_facies)
plt.annotate('Sand',[440,45]); plt.annotate('Shale',[440,10])
plt.xlim(xmin,xmax); plt.ylim(ymin,ymax); add_grid(); plt.xlabel('X (m)'); plt.ylabel('Y (m)'); plt.title('Data on Layer iz = 0')
plt.subplot(122)
plt.hist(df_sand['Porosity'],color='gold',edgecolor='black',bins=np.linspace(pormin,pormax,nbin),alpha=0.8)
plt.hist(df_shale['Porosity'],color='grey',edgecolor='black',bins=np.linspace(pormin,pormax,nbin),alpha=0.8)
plt.xlim([pormin,pormax]); add_grid(); plt.xlabel('Porosity (fraction)'); plt.ylabel('Frequency'); plt.title('Porosity Distribution by-Facies')
plt.subplots_adjust(left=0.0, bottom=0.0, right=2.0, top=1.0, wspace=0.2, hspace=0.2); plt.show()

SISIM 3D Demonstration#
Using the grid definition and synthetic data above, here we calculate realizations of sequential indicator simulation. Here’s the current assumptions,
Two Facies - sand (1) and shale (0)
Same Indicator Variogram - for both sand and shale. You can experiment with this, but with 2 facies there is limited freedom as they constrain each other and contradictory (very different) variogram models will likely not be honored and lead to a lot of order relations issues.
Random Data - from above. Warning, too many random data will impose nugget effect spatial continuity in the realizations. Ironically, the best way to make data synthetic data consistent with a variogram model is to calculate an unconditional realization and to extract the data, i.e., you need a simulation to make data for a simulation! I wanted to keep this demonstration simple so I just made random data.
Singular Matrices - data cannot be exactly at cell centroids as this could cause previously simulated nodes and data to be collocated and this will cause singular kriging matrices. A very small random offset will take care of this.
First Version - I have not tested all the options, for example, locally variable mean (LVM), collocated cokriging options have not been checked.
Now here is the code to calculate an ensemble of simulated facies realizations.
we run nreal realizations and visualize the layer iz = 0 layer of each to check the data conditioning
%%capture --no-display
seed = 73071 # realization seed
nreal = 3 # number of realizations
ncut = 2 # number of facies
thresh = [0,1] # the facies categories (use consistent order for all lists)
gcdf = [0.5,0.5] # the global proportions of the categories (shale, sand)
variomaj = 50.0; variomin = 50.0; variovert = 5.0
facies_varios = [] # the variogram list with shale and sand variograms (in order of thresh list)
facies_varios.append(geostats.make_variogram3D(nug=0.0,nst=1,it1=1,cc1=1.0,azi1=45,dip1=0,hmaj1=variomaj,hmin1=variomin,hvert1=variovert))
facies_varios.append(geostats.make_variogram3D(nug=0.0,nst=1,it1=1,cc1=1.0,azi1=45,dip1=0,hmaj1=variomaj,hmin1=variomin,hvert1=variovert))
ndmin = 0; ndmax = 3 # minimum and maximum data for indicator kriging
nodmax = 3 # maximum previously simulated nodes for indicator kriging
nxdis = 1; nydis = 1 # block kriging discretizations
dummy_trend = np.zeros((nz,ny,nx,2)) # current version requires trend - if wrong size = ignored
tmin = -999; tmax = 999 # data trimming limits
run_model = True # run the simulation model
nreal = 3 # number of realizations
if run_model == True:
sim_ik = geostats.sisim_3D(df,'X','Y','Z','Facies',ivtype=0,koption=0,ncut=2,thresh=thresh,gcdf=gcdf,trend=dummy_trend,
tmin=tmin,tmax=tmax,zmin=0.0,zmax=1.0,ltail=1,ltpar=1,middle=1,mpar=0,utail=1,utpar=2,nreal=nreal,
nx=grd3D['nx'],xmn=grd3D['xmn'],xsiz=grd3D['xsiz'],ny=grd3D['ny'],ymn=grd3D['ymn'],ysiz=grd3D['ysiz'],
nz=grd3D['nz'],zmn=grd3D['zmn'],zsiz=grd3D['zsiz'],
seed = seed,ndmin=ndmin,ndmax=ndmax,nodmax=nodmax,mults=1,nmult=3,noct=-1,ktype=0,varios=facies_varios)
nrow = int(round(((nreal+0.9)/3),0)) # adjust plot for the number of realizations
for ireal in range(0,nreal):
plt.subplot(nrow,3,ireal+1)
GSLIB.locpix_st(sim_ik[ireal][0],grd3D['xmin'],grd3D['xmax'],grd3D['ymin'],grd3D['ymax'],grd3D['xsiz'],0.0,1.0,df,'X','Y','Facies',
'Sequential Indicator Simulation Realization #' + str(ireal+1) + ' - iz = 0','X(m)','Y(m)','Facies',cmap_facies)
plt.subplots_adjust(left=0.0, bottom=0.0, right=3.0, top=1.0*nrow, wspace=0.2, hspace=0.2); plt.show()

Let’s plot all the iz layers of the first realization.
I select a long vertical variogram range relative to the model vertical extents (zmax - zmin) so we can see conspicuous spatial continuity between the layers.
ireal = 0 # select realization for display
nrow = int(round(((grd3D['nz']+0.9)/3),0)) # adjust plot for the number of realizations
for iz in range(0,grd3D['nz']):
plt.subplot(nrow,3,iz+1)
if iz == 0:
GSLIB.locpix_st(sim_ik[ireal][iz],grd3D['xmin'],grd3D['xmax'],grd3D['ymin'],grd3D['ymax'],grd3D['xsiz'],0.0,1.0,df,'X','Y','Facies',
'Sequential Indicator Simulation - Realization #' + str(ireal+1) + ' - iz = ' + str(iz+1),'X(m)','Y(m)','Facies',cmap_facies)
else:
GSLIB.pixelplt_st(sim_ik[ireal][iz],grd3D['xmin'],grd3D['xmax'],grd3D['ymin'],grd3D['ymax'],grd3D['xsiz'],0.0,1.0,
'Sequential Indicator Simulation - Realization #' + str(ireal+1) + ' - iz = ' + str(iz+1),'X(m)','Y(m)','Facies',cmap_facies)
plt.subplots_adjust(left=0.0, bottom=0.0, right=3.0, top=1.0*nrow, wspace=0.2, hspace=0.2); plt.show()

Now let’s look at the center slices for a single realization of our 3D facies model,
y and x - plan view
z and x - vertical slice in x
z and y - vertical slice in y
ireal = 0 # select realization for display
plot_center_slices_3D(sim_ik[ireal],grd3D,'Facies 3D Simulation - Realization #' + str(ireal+1),'Facies', # plotting function
vmin=0.0,vmax=1.0,nvbin=2,cmap=cmap_facies)

SGSIM 3D Demonstration#
Now we can simulate porosity sand only and shale only realizations and then use the ‘cookie cutter’ method to put them together.
Same Variogram - for both sand and shale. You can experiment with this. You have complete freedom to assign any variograms to both.
Random Data - from above. Warning, too many random data will impose nugget effect spatial continuity in the realizations. Ironically, the best way to make data synthetic data consistent with a variogram model is to calculate an unconditional realization and to extract the data, i.e., you need a simulation to make data for a simulation! I wanted to keep this demonstration simple so I just made random data.
Singular Matrices - data cannot be exactly at cell centroids as this could cause previously simulated nodes and data to be collocated and this will cause singular kriging matrices. A very small random offset will take care of this.
First Version - I have not tested all the options, for example, locally variable mean (LVM), collocated cokriging options have not been checked.
Now here is the code to calculate an ensemble of simulated porosity realizations.
by-facies - we simulate porosity for shale and sand separately and then used the “cookie-cutter” approach to combine with the associated facies realization, by selecting shale porosity at shale locations and sand porosity at sand locations
%%capture --no-display
seed = 73077 # realization seed
nreal = 1
variomaj = 70.0; variomin = 30.0; variovert = 1.0 # porosity variogram, assumed same for shale and sand facies
porosity_vario = geostats.make_variogram3D(nug=0.0,nst=1,it1=1,cc1=1.0,azi1=45,dip1=0,hmaj1=variomaj,hmin1=variomin,hvert1=variovert)
ndmin = 0; ndmax = 4 # minimum and maximum data for indicator kriging
nodmax = 10 # maximum previously simulated nodes for indicator kriging
nxdis = 1; nydis = 1 # block kriging discretizations
dummy_trend = np.zeros((nz,ny,nx,2)) # current version requires trend - if wrong size = ignored
tmin = -999; tmax = 999 # data trimming limits
run_model = True # run the simulation model
if run_model == True:
sim_por_sand = geostats.sgsim_3D(df_sand,'X','Y','Z','Porosity',wcol=-1,scol=-1,tmin=tmin,tmax=tmax,itrans=1,ismooth=0,dftrans=None,tcol='Ref',twtcol=-1,
zmin=pormin,zmax=pormax,ltail=1,ltpar=pormin,utail=1,utpar=pormax,nreal=nreal,
nx=grd3D['nx'],xmn=grd3D['xmn'],xsiz=grd3D['xsiz'],ny=grd3D['ny'],ymn=grd3D['ymn'],ysiz=grd3D['ysiz'],
nz=grd3D['nz'],zmn=grd3D['zmn'],zsiz=grd3D['zsiz'],
seed=seed,ndmin=ndmin,ndmax=ndmax,nodmax=nodmax,mults=1,nmult=3,noct=-1,
ktype=0,colocorr=0,sec_map=0,vario=porosity_vario)
sim_por_sand[0][sim_ik[0] == 0] = np.nan
sim_por_shale = geostats.sgsim_3D(df_shale,'X','Y','Z','Porosity',wcol=-1,scol=-1,tmin=tmin,tmax=tmax,itrans=1,ismooth=0,dftrans=None,tcol='Ref',twtcol=-1,
zmin=pormin,zmax=pormax,ltail=1,ltpar=pormin,utail=1,utpar=pormax,nreal=nreal,
nx=grd3D['nx'],xmn=grd3D['xmn'],xsiz=grd3D['xsiz'],ny=grd3D['ny'],ymn=grd3D['ymn'],ysiz=grd3D['ysiz'],
nz=grd3D['nz'],zmn=grd3D['zmn'],zsiz=grd3D['zsiz'],
seed=seed,ndmin=ndmin,ndmax=ndmax,nodmax=nodmax,mults=1,nmult=3,noct=-1,
ktype=0,colocorr=0,sec_map=0,vario=porosity_vario)
sim_por_shale[0][sim_ik[0] == 1] = np.nan
sim_por = np.where(~np.isnan(sim_por_shale), sim_por_shale, sim_por_sand)
nrow = int(round(((nreal+0.9)/3),0)) # adjust plot for the number of realizations
for ireal in range(0,nreal):
plt.subplot(nrow,3,ireal+1)
GSLIB.locpix_st(sim_por[ireal][0],grd3D['xmin'],grd3D['xmax'],grd3D['ymin'],grd3D['ymax'],grd3D['xsiz'],pormin,pormax,
df_sand,'X','Y','Porosity',
'Sequential Gaussian Simulation - Realization #' + str(ireal+1),'X(m)','Y(m)','Porosity',plt.cm.inferno)
plt.scatter(df['X'],df['Y'],c=df['Porosity'],edgecolor='white',s=20,lw=1,cmap=plt.cm.inferno,vmin=pormin,vmax=pormax)
plt.subplots_adjust(left=0.0, bottom=0.0, right=3.0, top=1.0*nrow, wspace=0.2, hspace=0.2); plt.show()

Let’s plot all the iz layers of the first realization.
I select a long vertical variogram range relative to the model vertical extents (zmax - zmin) so we can see conspicuous spatial continuity between the layers.
ireal = 0 # select realization for display
nrow = int(round(((grd3D['nz']+0.9)/3),0)) # adjust plot for the number of realizations
for iz in range(0,grd3D['nz']):
plt.subplot(nrow,3,iz+1)
if iz == 0:
GSLIB.locpix_st(sim_por[ireal][iz],grd3D['xmin'],grd3D['xmax'],grd3D['ymin'],grd3D['ymax'],grd3D['xsiz'],pormin,pormax,df,'X','Y','Porosity',
'Porosity 3D Realization #' + str(ireal+1) + ' - iz = ' + str(iz+1),'X(m)','Y(m)','Facies',cmap)
else:
GSLIB.pixelplt_st(sim_por[ireal][iz],grd3D['xmin'],grd3D['xmax'],grd3D['ymin'],grd3D['ymax'],grd3D['xsiz'],pormin,pormax,
'Porosity 3D Realization #' + str(ireal+1) + ' - iz = ' + str(iz+1),'X(m)','Y(m)','Porosity',cmap)
plt.subplots_adjust(left=0.0, bottom=0.0, right=3.0, top=1.0*nrow, wspace=0.2, hspace=0.2); plt.show()

Now let’s look at the center slices for a single porosity realization,
y and x - plan view
z and x - vertical slice in x
z and y - vertical slice in y
ireal = 0 # select realization for display
plot_center_slices_3D(sim_por[ireal],grd3D,'Porosity 3D Simulation, Realization #' + str(ireal+1),'Porosity', # plotting function
vmin=pormin,vmax=pormax,nvbin=20,cmap=cmap)

Want to Work Together?#
I hope this content is helpful to those that want to learn more about subsurface modeling, data analytics and machine learning. Students and working professionals are welcome to participate.
Want to invite me to visit your company for training, mentoring, project review, workflow design and / or consulting? I’d be happy to drop by and work with you!
Interested in partnering, supporting my graduate student research or my Subsurface Data Analytics and Machine Learning consortium (co-PI is Professor John Foster)? My research combines data analytics, stochastic modeling and machine learning theory with practice to develop novel methods and workflows to add value. We are solving challenging subsurface problems!
I can be reached at mpyrcz@austin.utexas.edu.
I’m always happy to discuss,
Michael
Michael Pyrcz, Ph.D., P.Eng. Professor, Cockrell School of Engineering and The Jackson School of Geosciences, The University of Texas at Austin
More Resources Available at: Twitter | GitHub | Website | GoogleScholar | Geostatistics Book | YouTube | Applied Geostats in Python e-book | Applied Machine Learning in Python e-book | LinkedIn
Comments#
I hope you found this demonstration of 3D simulation chapter helpful. Much more could be done and discussed, I have many more resources. Check out my shared resource inventory,
Michael